Az értelem csak a szorgalomtól ragyog fel.

 


Bach életeRendszerekzenei kulcsokzenei kulcsok 8zenei kulcsok 11
rejtett titikok Bach zenéjébenZenei kulcsok 3zenei kulcsok 6zenei kulcsok 9zenei kulcso 12
általános zenei kulcsokzenei kulcsok 4zenei kulcsok 7zenei kulcsok 10zenei kulcsok 13


zenei kulcsok 11Zenei kulcsok 14Zenei kulcsok 17Zenei kulcsok 20
zenei kulcsok 12Zenei ulcsok 15Zenei kulcsok 18Zenei kulcsok 21
zenei kulcsok 13Zenei kulcsok 16Kulcsok 19Zenei kulcsok 22

Praeludium

Ebben a fejezetben folytatom a partiták elemzését, méghozzá az első partita első tételével, a preludium mélyebb értelmezésével foglalkozunk. Ő az első, a bevezető tétel.

 

1. ábra

Zenei értelmezése a tétel nevének: előjáték, bevezető. Az egyházi zenében az orgona előjátéka. Bevezeti az istentiszteletet. Preludizálni= improvizálni. Az orgona- a hangszerek királya- különböző ünnepeken kapott egy dallamot, és arra kellett neki improvizálni, preludizálni.

Számmisztikai értelmezése: a preludium egy ablak, ami által megláthatjuk a gyémántvalóságot. Ez a tétel összesen 622 hangból áll. A 622 jelentése: a titkok zárját nyitó kulcs. Itt van a megoldás. Ha megfejtjük a preludium kódjait, kulcsát, elénk tárul Isten világa, belső szerkezete. Az előjátéknak is ugyanez az értelmezése. Gondoljunk csak bele. Ha az előjátékot nem értjük meg- itt bármire gondolhat az olvasó, egy könyv olvasása, egy autó szerelése, nem fogunk tudni tovább lépni, ha mégis sikerül, hiányos lesz a munkánk és előbb vagy utóbb összekutyulódnak a dolgok.

Bevezeti az istentiszteletet. Ez is ugyanaz. A bevezetést úgy kell lejátszani az orgonistának, hogy minden ottlevő lényt sikeresen megtisztítson, áthangoljon-, átrezonáljon-, és lehetővé tegye nekik a belépést Isten országba.

A titkok zárját nyitó kulcs. Emlékszünk a partita fejezetnél a 41, 14-es számokra? Már ott is a kulcsokról beszéltünk. Valószínűnek tartom, ha sikerül megfejteni a preludium összes kódját, akkor a többi tétel megfejtése nem lesz olyan bonyolult. De! Tévedhetek is. Most úgy gondolom sikerült 2 kódot megfejteni, ez még nem elég a teljes igazság látásához. Kutatásunk percről percre, óráról órára mélyebb tudást szív magába. Talán lesz köztetek is, akinek lesz pár érdekes fölismerése, szívesen vesszük az együttműködést. A preludium 21 ütemből áll. Az ütemet már nem kell tisztázni, hiszen az előző fejezetben értelmeztem. Arra kérlek benneteket, ha valamelyik szót nem értettétek meg, tisztázzátok le a fogalmat, mert ha értelmezés nélkül folytatjátok az olvasást, előbb vagy utóbb érthetetlenné válik a szöveg, és belegabalyodtok az egészbe. Legrosszabb esetben eldobjátok a könyvet. Ez minden szöveges, de szóbeli dologra is igaz. Talán a legfontosabb törvény a tanulási technológiára. Nézzünk meg egy példát. Ha a gyerekek elkezdenek sustorogni, beszélgetni az órán, biztosan elvesztették a fonalat, már nem tudják követni az órát. Egy szót nem értettek meg! Onnan egyre rosszabb lett a helyzet. A legtöbb nevelő mit tesz ebben a helyzetben? Türelmetlenül elkezd kiabálni, megfenyíti, megfélemlíti a gyereket, és ezzel már rá is tette a pecsétet. Buta gyereket csinál belőle, amiből nagyon nehéz segítség nélkül kimászni. Ha megkeresték volna azt az egy szót, ahol elcsúszott a gyerek, és értelmezték volna minden hibáztatás nélkül, hiszen amiről még nincsen információnk, nem tudhatjuk csak úgy. Biztos vagyok benne, hogy egy újabb jó tanulót nyerhettünk volna. Ez lenne a pedagógusok feladata. Természetesen ez ugyanúgy igaz a felnőttek világára. A meg nem értett szóból ered az a sok-sok probléma. Ide már nem írok példákat, biztos vagyok benne, hogy mindenkinek eszébe jut több száz, akár a saját életéből is. Értelmezzétek a szót, így sok értelmetlen dologtól szabadultok meg.

Tehát a preludium 21 ütemből áll. Mit jelent ez a szám? Alma, feladat, mahad, mája, jóga.

A mahad és a mája szanszkrit nyelven van, jelentése: elme, illúzió. Az időfizikában az alma a forrást jelenti. Az alma latinul jóságos kegyes, spanyolul lélek a jelentése. Érdekességképpen, ha fölcseréljük a betűket, mala (alma) rózsafűzért jelent. A 21-es szám a fölemelkedés száma, a kettőből egy lesz, ő a jóga igazságszáma is.

Ő a megoldás, a bevezető kulcs. Jézus azt mondta, mindent egyszerre kell látni, hallani az értelmezésekhez. Mi egy 3 dimenziós világban élünk most, ez nem elég a teljes igazság megértéséhez. A világ egyébként 1 dimenziós, csak többdimenziósnak mutatja magát. Valószínűleg 64 dimenzió létezik. Dimenzió= kiterjedés. Vagyis mi a feladat? Létre kell hozni egy 1 dimenziós képet. Összeszámoltam hányféle hang van a tételben. Összesen 43, ebből a 43 hangból 2 hang enharmónikus. Mivel ez a darab temperált hangszerre íródott, a zongorára, nyugodtan kijelenthetem, hogy 42 fajta hangból áll, mivel a két enharmónikus hang helye azonos. Ugyanazt a billentyűt kell leütni a zongorán. Tisztázzuk az enharmónia és a temperált kifejezéseket. Temperálás a tiszta akusztikai hangviszonyoktól való eltérés. Az oktáv 12 egyenlő távolságra való fölosztása. Mutatok egy zongora billentyűzetről készített ábrát, amin látni fogjátok az elnevezések alapján a 12 fajta hangot, illetve ezeknek az ismétlődését mindkét irányban.

 

2. ábra

Logikusan gondolkodva ez a hallásnak és a hangok világának a meggyilkolása. Ebben a rendszerben már nincsenek tiszta hangtávolságok, tulajdonképpen minden hamisan szól. Mivel már nagyon megszoktuk ezeket a „hamis” hangzásokat, nem tűnik föl. Voltak, és vannak hangrendszerek, ahol több részre osztják föl az oktávot, ezek közelebb állnak a valósághoz. A temperált rendszerben csak egész és félhangtávolságok vannak. M. Mercato (1600-as évek) 53-fokú rendszert, Jankó Pál (1900-as évek eleje) 41-fokú rendszert dolgozott ki. Mondok egy példát. Mindenki ismeri Sebestyény Márta népdalénekest. Ő visszahozott az eredeti hangzásokból, hangokból sok olyan dolgot, amit már rég elfelejtettünk. Csak elfelejtettük! Szerintem nincs olyan ember, akit ne érintene meg az éneklése. Vajon miért? Ráismerünk az eredeti tudásra, az eredeti valóságra. Ő még gondolkodás nélkül énekli a negyed és annál kisebb hangtávolságokat. Nekünk már gondolkodással sem sikerülne. A keleti zenében még használatosak a félhang hangtávolságoknál szűkebb távolságok.

Temperált hangszerek: orgona, zongora, cseleszta, xylophon, stb. Ha valaki nem temperált hangszeren játszik, (pl. hegedű, brácsa, fuvola, trombita, stb.) és a kísérő hangszere egy temperált hangszer, akkor a nem temperált hangszeren játszó muzsikusnak alkalmazkodnia kell a temperált hangszer hangjaihoz, tehát a hangokat igen gyakran egy kicsit magasabbra, illetve mélyebbre kell intonálnia, játszania ahhoz, hogy egy tiszta közös produkciót alkothassanak. Ez nehéz munkának tűnik, de egy jó zenész gond nélkül megoldja. Ha egyedül játszik egy nem temperált hangszer, akkor csak saját magához igazodik, így egy egészen másfajta oldalát ismerjük meg a hangszernek.

El is jutottunk az enharmóniához. Enharmóniának nevezünk 2 olyan hangnak a viszonyát, ami igaz más-más nevet visel, kottázásuk is eltérő, de a temperált hangszereknél ugyanazon a helyen helyezkednek el, tehát ugyanott szólaltatják meg. Nézzétek meg újra a 2. ábrát, ott találtok ilyen elnevezéseket: ges-fis, des-cis, stb. Ez két különböző hang ugyanazon a helyen. A temperált hangszer ugyanott üti le, a nem temperált hangszer különbséget tud tenni a két hang között. A bés elnevezésű hangok egy kicsit alacsonyabban, a keresztes hangok pedig picit magasabban helyezkednek el.

Tehát 21 ütem, 42 féle hang. Nézzük meg hozzá a következő Ji csing ábrát.

 

3. ábra

Mit fedezünk föl? Csak egy helyen feleződnek a számok: 21-42. Ez a fordulópont. Nagyon furcsa összeesés Bach zenéjével. Kisfaludy György kutatása alapján ez az élet-halál kódja. Ha sorrendbe rakjuk a számokat, akkor a 16. helyet kapja a 21-42. Még egy fontos dolog. A hangok frekvencia számaiban a közös, hogy mind 9-cel osztható. Azonnal rátérek, hogyan találtam meg ezeket Bach zenéjében.

Azért megnéztem a renumokban is az ehhez tartozó értelmezéseket. 21= alma, kutatás, nirvána, kehely, kincstár. 42= Isten képmása, istenné válás, kulcsmondat. A teljes megoldáshoz jónak kell lenni a 43-ak is, hiszen az enharmónikus hanggal összesen 43 van. 43= az út, siker. Összegzés. Ezen az úton jutunk el a sikerhez, a kulcsmondat segítségével Istenné válhatunk, a megfelelő kutatással elérhetjük a nirvánát, és megismerhetjük az élet-halál igazi értelmét. Nagyon sokat ígér ez a tétel, érdemes vele foglalkozni.

Készítettem egy összegzést a tételben előforduló hangokból, ami sok érdekes kaput nyitott meg előttem. Ebben a tételben 50 félhangtávolságon belül 51 félhang számolható meg. Mivel 42 féle hangot használ Bach a preludiumban, arra a következtetésre jutunk, hogy 9 üres hely van, illetve 9 hangot nem találunk meg ebben a műben. Megszámoztam a hangok helyét alulról fölfelé, tehát 1-51-ig, így a hiányzó hangok helye a következő.

2, 3, 4, 9, 11, 14, 26, 40, 49.

Alulról fölfelé számolva a hangjegyeket a 21. lépés pontosan a 2 enharmónikus hangra esik.

A fisz-gesz a 21. lépés. Ha nem számoljuk a hiányzó hangokat, akkor az enharmónia lépése a 16. Egyre gyanúsabb a dolog . A Ji csing frekvenciái  9-cel oszthatóak, itt 9 üres hely van, 21-42 a fordulópont, 42 féle hang, 21 ütem, a 21. lépés az enharmónia, a hiányzó hangok nélkül a 16. lépés, úgy, mint a Ji csingnél a 21-42. Az időfizikában azt mondják 16 világ van, a 17. az ahun, a nemtér- nemidő. Mielőtt tovább megyek ezen az izgalmas vonalon, nagyon fontos még két dolgot megvizsgálnunk, ami bizonyítani fogja állításainkat. Az aranymetszéspont. Az aranymetszés mindig érdekelte az embereket, legfőképpen az alkotókat és a kutatókat, hiszen ő az egyik legfontosabb kulcs a világegyetemben. Könyveket írtak már az aranymetszésről, ezért csak egy mondatot írok, a matematikai megfogalmazást. Két rész (a, és b, a>b) az aranymetszés szerint aránylik egymáshoz, ha az egész (a+b) úgy aránylik a nagyobb részhez (a), ahogy a nagyobbik rész (a) a kisebbik részhez (b).

 

4. ábra

Az aranymetszéspont legkönnyebb kiszámítási módja, ha az egészet beszorozzuk 0, 618-cal, ez lesz a nagyobbik rész, a kisebbik rész, pedig ha beszorozzuk 0, 382-vel. Így kiszámoltam a tétel hangkészletének az aranymetszéspontjait többféle módon.

Félhangok: 51x 0, 618= 31, 518      51x 0,382= 19,482

Félhangtávolságok: 50x 0,618= 30,9       50x 0,382= 19,1

Hangkészlet + enharmónikus hang: 43x 0,618= 26,574   43x 0,382= 16,426

Hangkészlet enharmónikus hang nélkül: 42x 0,618= 25,956  42x 0,382= 16,044

Az eredmények nagyon érdekesek. Mindenféleképpen a 2 enharmónikus hanghoz érkezünk el. A pontok vagy a fisz-gesz-nél, a 2 enharmónikus hangnál, vagy az alattuk levő szomszédos hangnál, az F-nél, vagy a fölöttük levő szomszédos hangnál, a G-nél vannak. Az enharmónia a megoldás. 2 különböző hang, ugyanazon a helyen. Arra a következtetésre jutottam, hogy az aranymetszés nem egy pont, hanem egy folyamat. Az aranymetszés pontok itt vannak a mi 3 dimenziós világunkban, a folyamat pedig a nemtér- nemidőn keresztül, tehát az enharmónián keresztül, a geszről áthangolódunk a fiszre (természetesen fordítva is igaz) , elvisz bennünket más terekbe, világokba. Így utaznak az ufók is. Sok földönkívüli nép ismeri már ezt a technológiát, remélem Bach zenéje hozzásegít bennünket is, hogy megszerezhessük ezt a tudást. Az aranymetszés értéke is, hogy végtelen szám szintén erre utal, akárcsak a teremtés. Természetesen bizonyítani fogom több dologgal ezt az állításomat, ne gondoljátok, hogy könnyelműen kijelentek egy ilyen fontos tényt.

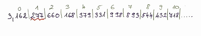
Ebből a 2 enharmónikus hangból, a fisz és a gesz hangból összesen 1-1 darab létezik ebben a tételben. Ez azt jelenti, hogy a 622 hangból 2 darab hang. Az egyetlen gesz hang a 20. ütemben található. Ez a hang az 592. hang a tételben. Az előző állításunk alapján ez az egyik kilépési pont a térből. Itt egy megdöbbentő dologra jöttünk rá. Ki ne ismerné a Pi értékét, a teremtés „egyik” számát. Sok életet eltöltöttek már a tudósok a Pi kutatásával. Az egyik teória alapján, a tizedes jegyektől számolva 3-as egységekre osztják föl, tehát 3 számot vesznek egy értéknek úgy, hogy az első kapja a 0 értéket és onnan egyesével tovább. Megmutatom a következő ábrán, hogyan gondoltam.

 

5. ábra

Igen, igen! Talán már ti is észrevettétek. Az 1-es és a 20-as egység pontosan az 592. Ez az első egység, ami megismétlődik a Pi értékeiben. A 20. ütemben található a mi kilépési pontunk, a gesz, az 592. hang, amiből csak egy van ebben a tételben, ő az egyik aranymetszépont. Ha visszafelé nézzük, tehát az utolsó ütem a 0. ütem, és az első a 20. ütem, ott is megjelenik 592. Oda is, meg vissza is igaz……Az ilyen „véletlenek” már nagyon elgondolkoztatóak. Természetesen meg kell vizsgálni az enharmónia párját, az egyedüli fisz hangot a tételben. Ő a 10. ütemben van, a 276. hang. Ő a másik, illetve az azonos helyen lévő hang a gesz hanggal, a másik kilépési pont a térből. A számmisztikai megfelelője: az idő megállítója, megállítása, kerubi rezonancia. Egyébként a 2 enharmónikus hang megfelelője az átlépés. Mit gondoltok hány hang van a 2 enharmónikus hang között? 592-276= 316

Hát ez egy igen nagy meglepetés, legalábbis annak, aki tud valamit az időfizikáról. Ő a gyök 10, ő a forrás sebessége. Természetesen ez is egy végtelen szám, mint minden, ami a teremtéssel kapcsolatos. A 316-os számot nagyon sok helyen meg lehet találni, én csak egy példát mondok. 316 gyöngy van a koronánkon.

Nyugodt szívvel merem mondani a következő mondatot. Ahol az aranymetszéspont segítségével megtaláljuk a teremtés 2 legfontosabb számát a 3.14 és a 3, 16-os számokat, az nemcsak egy zenei élmény, hanem  valóban a titkok zárját nyitó kulcs.

Természetesen szerettem volna a 3,16-os végtelen szám tizedesei között megtalálni a 276-os számot. Elmondom mit találtam. A 276. hang, a fisz, a 10. ütemben van. A 3,16…, a 10 gyöke. A 276. hangtól az 592. hangig pontosan 316 hang van, ami pontosan 10 ütem hosszúságáig tart. Egészen megdöbbentő a dolog. A következő ábrán megmutatom a 3,16 első tizedeseit.

 

6. ábra

Osszuk föl a tizedeseket, mint a Pi-nél. Az első 3-as egység a 277-es szám. Igen ez nem 276. Tudjátok miért? Mert a 277. hang a belépés a 316 hangba, ami pontosan 10 ütemig tart és az utolsó hang az 592. hang, a gesz hang. Még úgy is segített Isten, hogy nézzük meg a 276. hangot, a fiszt, ez egy 16 érték a zenében, az 592 hang a gesz egy nyolcad érték. A zenében 2 darab 16 érték tesz ki egy 8 értéket. Ami szintén érdekes a 277 érték után az első érték a 6-os. Persze azt is kérdezhetitek miért vettem őt első értéknek? Azért, mert a 10 ütemből, ami a két kilépési hang között van, ő jelöli az első ütemet.

Folytassuk tovább ezt az érdekes vizsgálódást. Vizsgáljuk meg a 9-ces szám szerepét. Az 51 félhangtávolságon belül tehát 9 üres hely van, 9 félhang hiányzik. Ezeket a hiányzó félhangokat számozásuk alapján összeszámoltam. 2+3+4+11+14+26+40+49= 158

A 158 az ősfoton igazságszáma. Hol száguldozik az ősfoton? Természetesen a nemtér- nemidőben, az ahunban. 9 üres hely a tétel hangkészletében-a térben-, tehát van, de nincsen. Ez is az ahun. Ács Miklós kitűnő matematikussal megvizsgáltunk minden „üres” helyet részletesen, sőt az egész tételt átdolgoztam vele. Arra a következtetésre jutottam, hogy mindenképpen írni kell egy külön fejezetet a közös munkánkról, ebben a fejezetben pedig csak az idetartozó fontos részleteket használom föl. Az ő teóriája szerint 9 identitás a titok kulcsa. Mi itt a titok kulcsa? A nemtér- nemidő megfejtése, ami lehetővé teszi nekünk az univerzum további titkainak föltárását. Emlékezzünk vissza a ji csing frekvenciáira. Mi volt a közös szám? A 9. Biztos, hogy ott is a kilépés, belépésről lesz szó. Megvizsgáltam a tétel zenei aranymetszését. 622x 0, 618= 384,396. A 384. hang a 14. ütemben van, az egyvonalas A hang. Zeneileg itt már megérkezett egy új világba, illetve ő a kezdő hang, az új kezdet. Hol kezdődik az átmenet, ahonnan már nincs visszaút? Az előtte levő ütemben, tehát a 13. ütem negyedik negyedén, a kétvonalas E hangon. Ezen az E hangon egy nagyon hosszú díszítést is kér Bach. Ez a leghosszabb díszítés-vibrálás-ebben a tételben. Igen jól olvastátok, vibrálásnak neveztem. Bárhová akarunk eljutni, szükség van az átrezgéshez, az áthangolódáshoz. Ez is igaz az élet minden területére. Hogyan viselkedtek otthon, és a munkahelyeteken?

Mit gondoltok hány hangból áll az átlépés? Pontosan 9 hangból. Az aranymetszéstől, a kilépési ponttól 9 lépéssel jutunk a nemtér- nemidőn keresztül egy másik térbe? Vagy 9 rétegű a nemtér-nemidő? Vagy 9 identitás tartja fönt? Vagy 9-ces rendszerben tudunk kilépni a térből? Amikor ezeket a sorokat olvassátok, talán már tudni fogom a megoldást. Most még keresem, de egy bizonyos, a 9-ces szám komoly összefüggésben van az ahunnal. Térjünk vissza a két kilépési hangra, a kétvonalas E, és az egyvonalas A hangra. A 13. ütemben még pontosan 5 hang van az ütemvonalig, a 14. ütemben pedig az 5. hang az A. A teret 5 Atya tartja fönt, a 13. ütemben 5 hang van. Aztán jön a nagy választóvonal, az ütemvonal, és az új ütemben fölépítjük az új teret, az 5 Atyát. A 14. ütem 5. hangja az A, az aranymetszéspont.

A kétvonalas E-től az egyvonalas A-ig pontosan egy kvinttávolság van, ez az 5-ös távolság a zenében. Biztosan sokan ismerik közületek Ékes Ákos Kulcsolt kígyók című verseskötetét. A versek meg vannak számozva. Nézzük meg nála az átmenetet. A mi egyvonalas A-nk a 384. hang. A versek- 383-388-ig- címei a követezőek:

Hármas, Én, Értsd meg, Működésben, A fény világa, Vagyok.

Térjünk vissza a kétvonalas E-re, amin a leghosszabb vibrálás van. Ez a tétel B-dúrban íródott. Mit jelent ez? A zene világában minden hangra építhetünk hangsorokat, ami meghatározza a mű karakterét, hangnemét. A két legismertebb hangsor a dúr és a moll. Ebben a műben a B alaphangra íródott egy dúr hangsor, ami meghatározta a hangnemét, így lett B-dúr. A hangsorokról most csak annyit mondok el, abban különböznek egymástól, mikor követi egymást egész, vagy félhangtávolság. Vizsgáljuk meg az E viszonyát az alaphanghoz, az alaprezgéshez, a B-hez. A B hangtól az E hang fölfelé is, és lefelé is ugyanolyan távolságra van. Ez azt jelenti, felezi az oktávot. Ő a felezőpont. Gondoljunk csak vissza ji csingre. 21-42. Az egyetlen hely, ahol feleződtek a számok. A fordulópont. Ezt a két hangot, a B-t és az E-t, ha egyszerre szólaltatjuk meg, egy nagyon furcsa hangzást fogunk hallani. Mindenkinek föl fog tűnni, mert olyan hamisan fog szólni. A hangköz neve: tritonusz (gr tritonos= három hang). Másnéven nevezzük szűkített kvintnek, vagy bővített quartnak. A kvint az 5-ös, a quart a 4-es hangtávolság a zenében. A tritonuszt mindig föloldjuk a zene világában, tehát a hamis zengés után egy tiszta hangzást hozunk létre. Vagy fölfelé, vagy lefelé lépve érjük el ezt a tiszta hangzást. Ami érdekesebbé tette ezt a dolgot, ugyanezt a tritonusz hangtávolságot fedeztem föl a két enharmónikus hang akkordjainál. A 20. ütemben a gesz hang fölött egy C van, ami szintén egy szűkített kvint távolság. A 10. ütemben a fisz hang fölött az A, majd a C hang van, ami szintén egy tritonusz távolságnak felel meg. Tehát ez a hangzást mindenképpen egy továbblépést, föloldást igényel. Tritonusz= három hang, bővített quart, bővített négyes, szűkített kvint, szűkített ötös alakzat. Ez mind az ő neve. Gyanúsan hasonlít az 5 Atyára, ahogy fölépíti a teret, Vagy ahogy átlép egyik térből a másikba? Mindenesetre a mi „kilépési” hangjainknál megtaláljuk a tritonusz távolságokat.

Most vizsgáljuk meg a témákat. Ebben a tételben van egy dallam, ami 5 alkalommal jelenik meg a műben. Természetesen minden alkalommal másképpen mutatkozik meg, de mindig ugyanarról a dallamról van szó. Ez is olyan, mint az 5 Atya. Mindig ugyanaz, de sohasem egyforma. Olyan, mint az élet, nem találunk két pontosan egyforma jelenséget. Az első téma 57 hangból áll. Ez a csi száma. Mi a csi? Levegő, életerő, energia, lehelet, ősenergia, életenergia. Ő az első kiáradás jelképe. Ez az 57 hang 3 szólamban szólal meg, ami azt jelenti, van egy dallamszólam, és 2 kísérő szólam. Egyszerre minimum 1, maximum 3 hang szólal meg egyszerre. Így az 57 hang fölosztása: 39+13+5= 57.  39 hangból áll a dallam, ő a fölső szólam, 13, és 5 hangból a kísérő szólamok. 39 jelentése= a Fiú, Jézus, 13= ige (kiáradás), 5= fa (tér).

Jézus kiáradása a térben. Ez az első kiáradás, az első tér.

A második témában 61 hang szerepel. Ez is háromszólamú. Itt a basszus szólamban, a legalsó szólamban van a dallam. Úgy, mint az első témánál, szintén 39 hangból áll. Ő a Fiú. A szoprán, és a középső szólam a kíséret 6, illetve 16 hang van. A kísérő szólamokban egy érdekességet fedeztem föl, ami jobban megmutatja a valóságot. Mindkét szólamban van egy-egy átkötött hang. Tehát összesen 2 darab. Tisztázzuk az átkötött hangot. Olyan azonos magasságú hangok, melyek kötőívvel vannak átkötve. Ezeket az átkötött hangokat nem kell újra megszólaltatni, hanem értékének megfelelően kell kitartani. Az átkötések igen gyakran egyik ütemből a másikba nyúlnak át, így zeneileg könnyen magyarázhatóak. Viszont vannak ütemen belül is átkötések. Ezekre is vannak magyarázatok, én mégis úgy gondolom, nemcsak zenei értelmezése van. Két, de lehet több azonos hangmagasságú hang átkötve, amit sokszor 1 hanggal is lehetne jelölni, és mégis több hang átkötésével ábrázolja a zeneszerző. Nézzük meg a legelső átkötést a tételben. Az első téma basszus szólama egy nagyon hosszú átkötött B hang. Ez a leghosszabb átkötés a tételben. A B hangról már beszéltünk, ő az alap, a kezdet, ő képviseli a hangnemet. Már csak ezért is alap, hiszen a basszuskulcsban a legalsó szólam, őrá épül a másik kettő. Pontosan 3 hang van összekötve. Az Atya, a Fiú, és a Szentlélek. Ők itt még egyek, hiszen az első téma az első kiáradásról beszél, az első forrásról, ahol még minden az egyben létezik. Ha ezt a 2 átkötött hangot hozzászámoljuk a basszus értékeihez, 5+2=7. Ez a szám a hetes, ami a fényt jelenti, hiszen ő is az egyből fog létrejönni. A második témában a hangok fölosztása: 16+6+39= 61. Ha hozzászámoljuk az átkötött hangokat: 17+7+39= 63

A 16, a 16 világot jelöli, a 17 pedig a nemtér- nemidőt, hiszen ott van, de nincsen. A 6 már a meglévő teret, a hét pedig a fotinót, ez pedig arra utal, hogy a fény a térben született tér, hiszen mindkettő ugyanabból a dologból jött létre, az időből. A 39 pedig Jézus jelenlétét mutatja az elkészült univerzumban. A 63. Nézzük meg újra a ji csing ábrát, a 63 a legmagasabb szám, innen nem megy tovább. Ebben a tételben 622 hang van, ha hozzászámoljuk az átkötött hangokat, akkor összesen 647 hangot kapunk. Jelentése: gyémántszellem szikra atom. Ez is azt mutatja, hogy a legapróbb részleteket is meg kell vizsgálni, semmit sem szabad figyelmen kívül hagyni.

A harmadik téma már bonyolultabb, illetve nem, csak még én nem látom át tisztán az összefüggéseket. A téma többször elindul, mindig egy más-más szólamban, de csak töredékében jelenik meg. Az ötödik elinduláskor sikerül végig elhangoztatni a dallamot, aminek a végén van az aranymetszéspont a 14. ütemben, amit már korábban megbeszéltünk.

A második töredék téma elkezdéséhez készítettem egy mátrixot, mivel itt található a mi enharmónikus fisz hangunk, a 276. hang.

 

7. ábra

Ez a 10. ütem mátrixa. A 10-es szám egyébként Bach igazságszáma. Eddig nem találtuk meg a megoldást, talán közületek sikerül valakinek. A számok összege 32, jelentése: itt van a megoldás.

A negyedik témában ami a legfeltűnőbb, hogy nincsen szünet. Az összes többi témában vannak szünetek, de itt nincsen. Ez is háromszólamú, az érdekesség, mindig jelen van a három szólam. A negyedik és az ötödik téma között nincs igazi átvezetés, a kettő egymásba olvad. Az ötödik, befejező téma abban különbözik a többitől, hogy itt jelenik meg először a 4. és az 5. szólam. Ez az jelenti, hogy egyszerre 4-5 hang is megszólalhat ugyanabban az időben. Ez a 19. és 20. ütem. A 19. ütem első fele, első két negyede 3 szólamú, a 4. szólam szünet formájában jelenik meg, a második fele 4 szólamú és az 5. szólam jelenik meg szünet formájában. Egyedül a dallamban nincs szünet, ő a szoprán szólam, az összes többiben van szünet. Valószínűnek tartom, hogy a tér öt helyét mutatja nekünk, mikor melyik helyen tartózkodik a tachion, és milyen formában. A dallamban azért nincsen szünet, mert ő maga a tachion, ő mindig létezik A kísérőszólamok a tachion virtuális képei, a kottajegyek értékeiből lehet kiszámolni mikor, hogyan volt (van) ott a tachion, a szünetek pedig az előkészített üres helyek, ahová érkezni fog a tachion. A 19. ütemben 37 hang van, a 20. ütemben pedig 44. Érdekes összefüggésnek találom, hogy Lao-ce Az út és erény könyvében az út 37 versből, az erény pedig 44 versből áll. A 21. ütemben egy záróakkord van, 6 hang szólal meg egyszerre, itt érkeztünk el „gyémánt valóságba”.

Sokat törtem a fejemet, hogyan tudnám a kottát egydimenziós formában létrehozni. Jézus azt mondta, minden egyszerre történik, nem folyamatában, ahogyan ezt mi itt a 3 dimenziós világunkban megszoktuk. Elkészítettem a preludium hangkészletének a táblázatát, összeszámoltam minden hangból pontosan hány darab van, kiszámoltam őket százalékban is, hogy jobban értelmezhetők legyenek az arányok. Aztán elkészítettem az első ábrámat. Kiválasztottam egy hangot a műből, ő lett a középpont és köréje ábrázoltam a többi hangot, a tőle megfelelő távolságban. Választottam egy alaptávolságot, és így számoltam ki a többi hangtávolságot.

 

8. ábra

 Természetesen elkészítettem hozzájuk azokat az ábrákat is, amik a hangokat jelölik, illetve azt is, számszerűen hány alkalommal jelenik meg a műben.

 

9. ábra

Ezután elkészítettem az összes szereplő hanggal, tehát 43 alkalommal, ugyanezeket az ábrákat, és alulról, a legmélyebb hangtól fölfelé sorba raktam őket. 

 

10. ábra

Ezek egydimenziós ábrázolások. Ahol hiányos a „szív”, ott vannak az ahun pontjai. Mindenhol 9 van belőlük. Biztos vagyok benne, hogy hamarosan sok fontos dologra fogjuk fölhasználni ezeket a képeket. Megcsinálhattam volna szebben is az ábrázolást, több helyen nem is mm pontosak. Az alapgondolatom mindig az volt, hogy compjúteren fogjuk ezeket elkészíteni, ott egyből eltűnnek a pontatlanságok, és sokkal több lehetőség van. Különböző ábrázolási formákra gondoltam, sajnos ezeket a technikákat nem ismerem, így türelmesen várok valakire, akinek megtetszenek ezek a munkák, és közösen elkészítünk egy pár megoldást.

A következő ábrán található a hangkészlet összegzése számokban és százalékokban. Minden hanghoz egy összegzést készítettem és ezeket is sorba raktam alulról fölfelé. Mivel a legalsó hangtól a legfölső hangig elérjük az ötödik oktávot, ezért itt 5 „körív” lesz, később 4, majd 3, aztán megint 4, és az utolsó megint 5. Ez is nagyon erősen emlékeztet a tér szerkezetére, illetve arra, hogyan lépeget a tachion az egyik térből a másikba. Egy bizonyítékot tudok elmesélni. Egy médiumit. Sorba kellett olvasnom neki a számokat, az 5-ös és a négyes csoportoknál azt mondta, belejutunk egy spirálba, és amikor elérkeztünk a hármas csoportokba hirtelen azt mondta, itt vannak az ugrási lehetőségek, itt lehet ugrani (egyik térből a másikba). A hármas egységek fölosztása is érdekes. A hármas egységek 6-7. lépése a két enharmónikus hang. Onnan fölfelé az első négyes egység eléréséig pontosan 17 egység van a két enharmónikus hanggal együtt. Emlékszünk még? 16 világ van, a 17. az ahun. Nagyon elgondolkoztató.  

11. ábra

Tudom, ez még mindig a kezdet, de már van egy „ mankó”, amire lehet támaszkodni. Sok fontos dolgot kell még megvizsgálni ebben a tételben, igyekezni fogok, jön a folytatás. Amikor Jézus azt mondta kísérleti nyúl vagy, közöld az emberekkel, amit eddig megfejtettél, még voltak kétségeim. Minden mondatért, betűért vállalom a felelősséget, amiket leírtam. Tudjuk, Jézus rébuszokban beszél. Megfejtettük a kísérleti nyúl értelmét is.

Kísérleti nyúl= tökéletes angyal= tökéletes jövő.

 NEXT    TOVÁBB


 

HUNIVERSITAS LAPOK